Electric-field(E-field) strength by car-mounted measurements
-
As one of the EMF exposure level monitoring, we have been measuring E-field strength over a wide area throughout Japan using a car mounted with E-field strength measurement equipment.(About measurement of E-field)
Measurement was started in FY2021 with a total measurement distance of about 41,000 km.
The results of measurements taken in FY2021 within a radius of 100 km centered on Nihonbashi, Tokyo (measurement distance: approx. 15,000 km) are shown here.

Results
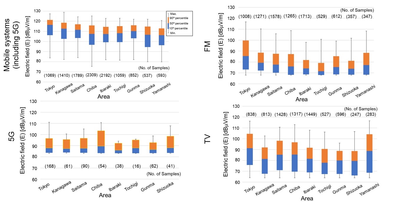
- ・Box and whisker plot of E-field strength for each prefecture
- Figure 1 shows the box and whisker plot of the E-field strength from mobile phone base stations with and without 5G, and broadcast transmission towers of FM and TV with the number of samples for each prefecture. The E-field strengths in the graphs are levels averaged within Basic Grid Square※1. It can be seen that the E-field strengths from FM/TV broadcast transmission towers are lower than those from mobile phone base stations. The E-field strength of all systems is higher in Tokyo than in other prefectures. However, even in areas with the highest E-field strength, it is less than 0.32% of the value specified in Radio Radiation Protection Guidelines※2.
- ・Relationship between the E-field strength and the population density
- Figure 2 is a scatter plot that shows the relationship between population density and E-field strength from mobile phone base stations, including 5G in Tokyo and Chiba Prefecture. The E-field strength is positively correlated with the power of the population density.
- ・E-field strength map
- ・Results of measurement data are shown as an E-field strength map.
- ・Each Basic Grid Square is displayed in five levels of color, and the E-field strength values for the four bands (Total, Mobile system, 5G system, and Broadcast) are displayed as detailed data for each Grid.
- ・For the E-field strength including all bands, the ratio to the value specified in Radio Radiation Protection Guidelines is displayed as a percentage.
- ※1 Basic Grid Square:Basic Grid Square provided by the Japanese government to divide the measurement area into a 1 km2 mesh. (more...)
- ※2 Radio Radiation Protection Guidelines:In Japan, guidelines for the strength of radio waves that do not have undesirable adverse health effects on human have been established in order to realize an environment in which everyone can use radio waves safely and with peace of mind. In Radio Radiation Protection Guidelines, guideline values are established based on the threshold values of those effects, taking into account a sufficient safety factor. (more...)


Published paper
- T. Onishi, K. Esaki, K. Tobita, M. Ikuyo, M. Taki, and S. Watanabe, "Large-Area Monitoring of Radiofrequency Electromagnetic Field Exposure Levels from Mobile Phone Base Stations and Broadcast Transmission Towers by Car-Mounted Measurements around Tokyo" Electronics 12, no. 8: 1835, 2023 DOI: 10.3390/electronics12081835 ※This work was supported by Bioelectromagnetic Environment Research and Evaluation Technology Research on Radio Wave Safety, the Ministry of Internal Affairs and Communications (JPMI10001), Japan.
Site Policy and Terms of Use
- This website(https://emc.nict.go.jp/mnt/gis_e.html ;hereinafter referred to as the “Site”)is managed by the Electromagnetic Compatibility Laboratory, Electromagnetic Standards Research Center, Radio Research Institute, National Institute of Information and Communications Technology (hereinafter referred to as the “Laboratory”). When using the information on the Site, please be aware that you had agreed to the terms of use specified as follows.
- 1.Disclaimer
The information distributed on the Site is based on the measurement data collected by the Laboratory. As for the data set, etc., we are taking all possible measures, however there is no guarantee of accuracy, certainty, suitability for the purpose, or other quality. The Laboratory is not responsible for any inconvenience or damage which may be caused by using the information on the Site. Information and data on the Site may be partially/permanently suspended or deleted. The content and attributes in the Site (including formats) may be changed without prior notice.
- 2.Copyright
All the information provided on the Site is protected in Japan and internationally, by copyright laws and international copyright convection. The entire Site is also subject to copyright as an editorial work. The entire or a part of the contents of the Site, quotation/reproduction for private use can be carried out by explicitly indicating the source, as an act permitted under the copyright law. However, if there is a credit that shows the organization other than our Laboratory owns the copyright, please follow the copyright policy of the organization. For all or a part of the content on the Site, no modification is allowed without permission from the Laboratory.
- 3.Linking
You are welcome to create links to the Site freely. However, we do not accept links in such a way that the contents and pages of the Site appear to be part of the content of the linked site (for example, a link that takes in the whole or part of the page of the Site as it is in the frame). In addition, files and directory structure in the Site may be changed/deleted without notice. There are links for the sites of organizations other than our Laboratory (hereinafter referred to as “external sites”) for your convenience. For the use of this linked external sites, the site policy of the external sites is applied. The pages in the Site may be modified or deleted without prior notice.